Contoh Surat Persetujuan Waris

Demikian Surat Keterangan dan Pernyataan Ahli Waris ini kami buat dengan sebenarnya diatas kertas bermaterai cukup dalam keadaan sehat jasmani dan rohani tanpa ada tekanan maupun paksaan dari siapapun. Untuk surat ahli waris dibuat pada notaris surat tersebut akan berguna untuk informasi yang akan dibutuhkan soal pewaris ahli waris dan hak.


Surat Persetujuan Ahli Waris

Secara umum surat kesepakatan bersama terdiri dari beberapa jenis sesuai dengan keperluan yang dimaksud seperti surat kesepakatan jual beli tanah ahli waris pembagian harta pasangan suami istri dan lain-lain.

. Contoh surat ahli waris 1. 0 penilaian 0 menganggap dokumen ini bermanfaat 0 suara 104 tayangan 2 halaman. Menurut buku Panduan Lengkap Membuat Surat-surat Kuasa Frans Satrio Wicaksono 2009 bagian-bagian surat kuasa ahli waris disusun seperti surat kuasa lain pada umumnya yang terdiri dari judul kalimat pembuka identitas pemberi kuasa identitas penerima kuasa perbuatan yang dikuasakan penutup pembubuhan materai dan tanda tangan atau cap.

Demikian kami adalah para ahli waris dari mendiang. Adapun kesepakatan kami adalah sebagai berikut. Ahli waris tersebut yaitu.

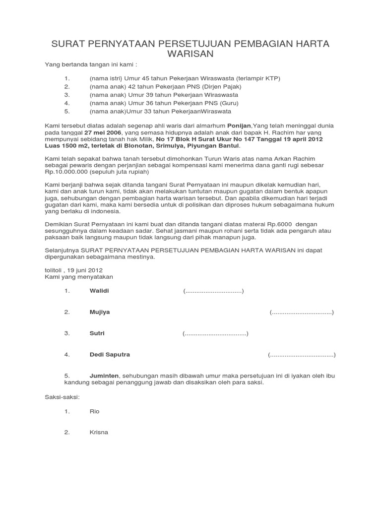
Itulah contoh-contoh surat ahli waris untuk bank yang baik dan benar sebagai referensi untuk anda yang. Sartika Parhusip 26 Januari 2022 Dokumen. Kami tersebut diatas adalah segenap ahli waris dari almarhum PonijanYang telah meninggal dunia pada tanggal 27 mei 2006 yang semasa hidupnya mempunyai sebidang tanah hak Milik No 17 Blok H Surat Ukur No 147 Tanggal 19 april 2012 Luas 1500 m2 terletak di Blonotan Srimulya.

Contoh Surat Persetujuan Ahli Waris Menjual Tanah - 2 - Hak atas harta waris tidak terbatas pada hak atas bidang tanah. Contoh Surat Silsilah Keturunan. 3 Contoh Surat Pernyataan Ahli Waris sebagai Referensi.

Contoh format permohonan penetapan waris di pengadilan negeri reviewed by agung kurniawan and partners on april 02 2018 rating. MENGGUGAT WARIS DI PENGADILAN AGAMA Pengajuan-Permohonan-Surat-Waris CARA MEMBUAT SURAT GUGAT WARIS DI PENGADILAN AGAMA. Putra Erlangga anak Jika anda sudah memenuhi seluruh persyaratan dan membuat surat kuasa ahli waris maka pihak bank akan segera mencairkan tabungan almarhumalmarhumah secepat mungkin.

Surat Pernyataan Ahli Waris Foto. Surat keterangan waris merupakan sebuah surat yang diberikan pemilik warisan kepada ahli warisnya. Almarhum tidak mempunyai anakketurunanakhli waris yang lain selain nama dan atau nama-nama sebagaimana tersebut diatas.

Agar lebih terkoordinasi sebaiknya proses pembuatan Surat Pernyataan Ahli Waris dilakukan di DesaKelurahan setempat. Demikianlah surat pernyataan ini saya buat. Angga Gunawan anak 2.

Contoh Surat Permohonan Penetapan Ahli Waris Pengadilan Download Contoh Surat Permohonan Penetapan Ahli Waris Pengadilan Download format surat lain. Format Surat Persetujuan Ahli Waris. Rab Ape Dekonsentrasi 2015.

Jika dalam proses jual beli tanah biasa pihak penjual adalah pemilik yang namanya tercantum dalam sertifikat tanah sementara dalam kasus harta. Berikut beberapa persyaratan untuk pembuatan Surat Pernyataan Waris dari Desa. Surat kesepakatan bersama ahli waris merupakan berkas yang dibutuhkan untuk menjadi tanda bukti dari pemberian kuasa kepada para ahli waris.

Ilah 14 bagian adalah 7225 m2 2. Surat Pernyataan Ahli Waris diperlukan jika ada ahli waris yang tinggal berjauhan dengan tanah atau rumah yang akan dijual sehingga sulit melakukan penandatanganan Akta Jual Beli. Proses Penerbitan Surat Pernyataan Ahli Waris Dari DesaKelurahan.

Surat pernyataan hak mewarisahli waris adalah surat yang dibuat olehdi hadapan pejabat yang berwenang yang isinya menerangkan tentang keadaan yang meninggal dunia dan siapa saja ahli waris dari seseorang yang sudah meninggal dunia serta. Syarat Membuat Surat Wasiat. Dari luas tersebut dibagi sama rata untuk 4 orang ahli waris masing-masing.

Pewaris harus berusia 21 tahun atau sudah menikah. Contoh surat persetujuan ahli waris. Luas tanah - Luas tanah keseluruhan yang telah diukur oleh Pihak XXX dan disaksikan oleh 3 orang ahli waris dan pemilik tanah yang berbatasan dengan tanah tersebut adalah 289 m2.

Format Surat Persetujuan Ahli Waris. Cara Membuat Stiker Tempel. Surat tersebut berisi data-data ahli waris yang sah yang berhak.

Download Contoh Surat Ahli Waris Yang Benar Format 1653 x 2339 Blog Kita Punya Contoh Surat Persetujuan Ahli Waris Format 1200 x 1600 pixel Download Blog Kita Punya Contoh Surat Persetujuan Ahli. Contoh SURAT PERNYATAAN AHLI WARIS Yang bertandatangan di bawah ini kami adalah para waris dari Alm. Pengurusan jual beli pun bisa diwakilkan oleh satu ahli waris yang.

Surat Kesepakatan Bersama Ahli Waris. Pihak Pertama tanda tangan dan materai Pihak Kedua tanda tangan dan materai Saksi-saksi. SURAT PERNYATAAN PERSETUJUAN PEMBAGIAN HARTA WARISAN.

Notaris setempat atau dibuat surat persetujuan dalam bentuk akta. Dalam proses jual beli tanah atau rumah warisan tersebut semua ahli waris tidak perlu hadir. Surat Pernyataan Persetujuan Ahli Waris.

Cara Membuat Magnet Batang. Maksudnya Anda membuat surat ini atas keinginan sendiri tanpa ada paksaan dari siapapun. Apabila dikemudian hari keterangan kami para ahli waris tidak benar sehingga terjadi gugatan dari pihak lain maka sepenuhnya menjadi tanggung jawab kami sedangkan aparat pemerintah yang turut menandatangani Surat Keterangan Ahli Waris ini dibebaskan dari.

Simpan Simpan Surat Pernyataan Persetujuan Ahli Waris Untuk Nanti. Surat ini punya kekuatan hukum sebab harus melalui proses persetujuan pejabat pemerintah setempat misalnya dari kelurahan dan kecamatan atau jasa pejabat pembuat akta tanah. Berikut ini beberapa jenis surat.

Arkan Suhail anak 3. Hal ini berlaku baik untuk laki-laki maupun perempuan. If you are author or own the copyright of this book please report to us by using this.

May 16th 2018 - penerima hibah sebelum akta ini ditandatangani danContoh Surat Wasiat Contoh Surat July 10th 2018 - Lalu Apa Itu Surat Wasiat Surat Wasiat Adalah Sebuah Akta Yang Isinya Adalah Pernyataan Demikianlah Surat Pernyataan Wasiat Waris Atau Hibah Harta Saya Buat contoh akta notaris ppat aktenotaris wordpress com. Pada dasarnya berikut syarat membuat testamen. Big Promotions Contoh Silsilah Garis Keturunan.

Contoh Surat Pernyataan Tanggung Jawab Mutlak SPTJM. Wewenang yang dilimpahkan ditetapkan hanya sebatas isi surat kuasa itu. Sebagai Surat Yang Menerangkan Mengenai Pewaris Ahli Waris Dan Hak Ahli Waris.

Cara membuat surat keterangan ahli waris dan syarat lengkapnya.


Surat Persetujuan Ahli Waris Yuniar Pdf


Contoh Surat Penyerahan Tanah Kepada Ahli Waris Surat 10 Otosection


Surat Persetujuan Ahli Waris Pdf


Surat Pernyataan Persetujuan Pembagian Harta Warisan Ahli Waris Alm Pdf

No comments for "Contoh Surat Persetujuan Waris"